2次方程式とは?基礎から理解しよう

2次方程式とは? 基礎から理解しよう
中学3年生の数学で最大の山場といわれるのが「2次方程式」です。
高校入試でも必ずと言っていいほど出題される重要な単元ですが、基本ル-ルさえ押さえればパズルのように解くことができます。
2次方程式の定義と標準形
まず、言葉について確認しましょう。
(xについての)2次方程式とは、式を整理したときに(xの)次数の最大値が2である方程式
のことです。
簡単に言うと、
xの2乗( x2 )が含まれていて、かつxの3乗( x3 )以上の大きな累乗が含まれていない方程式
を指します。
基本的には、すべての項を左辺に集めて「=0」の形に整理すると、次のような形になります。
ax2+bx+c=0 (a≠0)
ここで「a≠0」という条件が重要です。
★なぜaは0ではいけないの?
もしaが0だと、主役である「x2」の項が消えてしまい、「1次方程式( bx+c=0 )」になってしまうからです。
★x2さえ残っていればOK!
aさえ0でなければ、bやcが0であっても2次方程式と呼びます。
例 次の式は2次方程式です。
x2-9=0 ←b=0の形
3x2+5x=0 ←C=0の形
2次方程式の「解」とは
方程式を成り立たせるxの値のことを解(かい)と呼びます。
1次方程式との最大の違いは、
「2次方程式には、基本的に解が2つある」
という点です。
★1次方程式 x+3=5
解は x=2 の1つだけ
★2次方程式 x2=9
解は x=3 と x=-3 の2つ
問題によっては解が1つ(重解)になる特殊なケ-スもありますが、
まずは「2つセットで答えるのが基本」だと覚えておきましょう。
なぜ2次方程式を学ぶのか
2次方程式は、実は私たちの身近なところで役立っています。
★物の動きを予測する
ボ-ルを投げたときの「放物線」の軌道計算に使われます。
★長方形の面積から、辺の長さを求める
長方形の面積がわかっているときに、縦や横の長さを逆算する際に必須の知識です。
★高校数学への橋渡し
高校で習う「2次関数」の土台になります。
高校では3次以上の関数を学習します。
ここをマスタ-しておくと、高校の数学がぐっと楽になります。

2次方程式の解き方① 因数分解を使う方法
2次方程式を解く上で最も基本的かつスピ-ディ-に解けるのが、「因数分解」を利用する方法です。
因数分解を使う解き方の手順
この解法は、
A×B=0 ならば、A=0 または B=0 である
という性質を利用します。
以下の3ステップで解きましょう。
1. 右辺を0にして、左辺を因数分解する
式を (x+p)(x+q)=0 の形にまとめます。
2. 左辺のかっこの中の式について、それぞれを ( )=0 とおく
x+p=0
または、
x+q=0
という式をつくります。
3. 解を求める
それぞれの1次方程式を解き、2つの解を導き出します。
x=-p,x=-q
重要ポイント!
因数分解をする前に、必ず「右辺を 0 」にしておく必要があります。
右辺が 0 でない状態で因数分解しても、正しい解を求めることはできません。
因数分解を使った例題と解説
実際に解いてみましょう。
例題1 次の方程式を解きましょう。
x2+5x+6=0

解答
左辺を因数分解すると、
(x+2)(x+3)=0 ←「かけて6、たして5」になる組み合わせは、2と3
x+2=0 または x+3=0 なので、
x=-2,-3
別のブログ記事へジャンプ!
因数分解のやり方を詳しく知りたい方はこちら ←こちらをタップ!
例題2 次の方程式を解きましょう。
x2-7x+12=0

解答
左辺を因数分解すると、
(x-3)(x-4)=0 ←「かけて12、たして-7」になる組み合わせは、-3と-4
x-3=0 または x-4=0 なので、
x=3,4
よくあるミスと注意点
テストでやりがちなもったいないミスを確認しておきましょう。
★解の符号(プラス・マイナス)を間違える
(x-6)(x+1)=0
と因数分解できたのに、答えを
x=-6,1 ←元の式に代入しても左辺が0にならない
と書いてしまうミスが多いです。
正しい答えは、
x=6,-1
です。「カッコの中を 0 にするXの値が解である」と意識しましょう。
★右辺が 0 になっていない
例えば、
x2+4x+3=-1
という問題について考えます。
この方程式を解くときに、いきなり左辺を因数分解し、
(x+1)(x+3)=-1 ←右辺が0ではないので、このままでは答えが出せない。
x=-1,x=-3
としてしまうミスがあります。
正しくは、まず -1 を左辺に移項して、
x2+4x+4=0
(x+2)2=0
x=-2
右辺が0になっているか、必ず確認するようにしましょう。
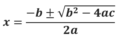
2次方程式の解き方② 解の公式を使う方法
「因数分解がどうしても思いつかない!」
「因数分解できるのかどうかわからない!」
そんな時に頼りになるのが解の公式です!
どんな2次方程式でも、数を当てはめるだけで答えが出る万能な方法です。
解の公式とは
どんな2次方程式(ax2+bx+c=0 a≠0)でも解くことができる魔法の公式がこちらです。
少し複雑に見えますが、2次方程式のa, b, c の値を確認し、公式にそのまま代入するだけで計算できます。
±(プラスマイナス)
公式の中にある±は、「+の場合」と「-の場合」の2つの解があることを示しています。
√(ル-ト)
この中身を計算して整理することが、正解への近道です。
解の公式の使い方【4ステップ解説】
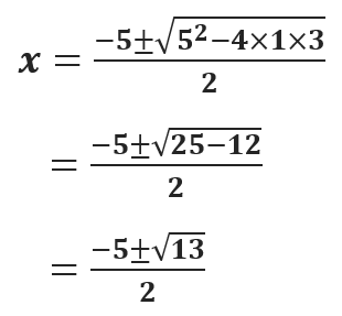
方程式 x2+3x-4=0 を解いてみましょう。
1.a, b, c の値を確認する
この式では、a=1,b=3,c=-4 です。
2.公式に代入する

3.ル-トの中(b2-4ac)を計算する

4.ル-トを外して答えを出す
√25=5 なので、

となります。
±5の部分を、+5のとき、-5のときで別々に解いて、
x=1,x=-4
解の公式の覚え方
この公式は、暗記してしまうのが一番です。
「覚えられない!」という人は、問題集を解くときなどに、
「解く前に必ずペ-ジの余白に公式を書く」というル-ルを自分に課してみましょう。
10回も書けば、自然と手が公式の形を覚えてくれます。
別のブログ記事へジャンプ!
数学公式の解説はこちら ←こちらをタップ!
2次方程式の解き方③ 平方完成を使う方法
平方完成(へいほうかんせい)は、式を (x+◯)2=△ という形に変形して解く方法です。
中学数学では少し発展的な内容ですが、解の公式が導き出される仕組みを知ることができ、高校数学で習う2次関数でも必須のテクニックになります。
平方完成の手順
基本は、
無理やり(x+◯)2の形をつくる
のがコツです。
例 x2+6x+5=0
解き方
1.定数項の 5 を右辺に移項する
x2+6x=-5
2.xの係数 6 の半分の2乗を両辺にたす
6の半分は3、3の2乗である 9 を両辺にたします。
x2+6x+9=-5+9
xの係数の半分の2乗をたすことで、左辺が因数分解できるようになります。
3.左辺を「 ( )2 」の形にする
(x+3)2=4
4.2乗を外してル-トをつける
x+3=±√4
x+3=±2
5.xの値を求める
x=-3+2 と x=-3-2 を計算して、
x=-1,-5
解き方の使い分け【フローチャート式】
2次方程式(ax2+bx+c=0 a≠0)には複数の解き方があるため、
「どの方法で解くのが一番いいの?」
と迷うかもしれません。
テストで効率よく正解にたどり着くための判断基準を紹介します。
判断基準のフローチャート
基本的には、次の「3ステップ」で考えるのが鉄則です。
1.まずは「因数分解」ができるかチェック(10秒)
「かけてc、たしてb」になる数の組み合わせがすぐに浮かべば、因数分解が最速です。
例えば、10秒考えて思いつかなければ、すぐに次のステップへ切り替えましょう。
自身の今の計算力に応じて、制限時間を決めておきましょう。
2.因数分解が難しければ「解の公式」
「xの係数が奇数」「数が大きすぎる」など、因数分解がパッと思いつかない場合は、迷わず解の公式を使いましょう。
計算の手間はありますが、確実に正解できます。
3.「平方完成」は指示があるときだけ
中学の定期テストでは、問題文に「平方完成を使って解きなさい」という指定がない限り、無理に使う必要はありません。

▼フローチャート
問題のタイプ別・解法早見表
パッと見た目だけで判断できるよう、具体例を表にまとめまるとこうなります。

よくある間違いと対策
2次方程式は計算の手順が多いため、ケアレスミスが起こりやすい単元です。
テストで失点しないために、典型的なミスパタ-ンを知っておきましょう。
計算ミスのパタ-ン
特に「解の公式」を使うときは、以下の3点に注意してください。
★符号のミス(マイナスの扱い)
解の公式の「-b」の部分や、ル-トの中の「-4ac」で符号を間違えるケースが非常に多いです。
特に c の値がマイナス(負の数)のときは、マイナスとマイナスで「プラス」になることを忘れないようにしましょう。
★ル-トの計算ミス
ル-トの中身を計算したあと、外に出せる場合は必ず外に出しましょう。
例 √20 → 2√5
これを忘れると減点対象になります。
★約分忘れ
解の公式で分母と分子に共通の数がある場合、分子の2つの項を両方とも約分しなければなりません。
片方だけ約分するのは間違いです。
解を全部書いていない
2次方程式の解は、基本的には2つあります。
★「±」を忘れない
平方根の考え方で解くとき、x = 2 とだけ書いてしまうミスがあります。
x2=4
x=2 ←間違い!
正解は
x = ±2(2 と -2)
です。
★問題の条件を確認する
文章題の場合、「辺の長さ」などは必ず正の数(プラス)になります。
計算で出た答えが条件に合っているか、最後に必ず確認しましょう。
因数分解後に「=0」とおくのを忘れる
せっかく (x+2)(x+3)=0 と因数分解できても、そこで満足して終わってしまう人がいます。
「因数分解は答えを出すための準備」です。
最後に必ず
x=-2,-3
と、解の形まで導き出しましょう。
テスト対策! 2次方程式の練習問題
知識をインプットしたら、実際に手を動かして定着させましょう。
基本から応用まで、段階的にチャレンジしてみてください。
基本問題(因数分解型)
まずは「因数分解」を使って、スピーディーに解く練習です。
問題 次の2次方程式を解きましょう。
① x2+8x+15=0
② x2-2x-24=0
③ x2+10x+25=0
解答・考え方
① x=-3,-5
かけて15、たして8になる数は 3 と 5
② x=6,-4
かけて-24、たして-2になる数は -6 と 4
③ x=-5
(x+5)2=0 となるので、重解(解は1つ)
標準問題(解の公式型)
次は、因数分解が難しいパタ-ンです。
「解の公式」を正確に使いましょう。
問題 次の2次方程式を解きましょう。
④ x2+5x+3=0
⑤ 2x2-3x-1=0
解答・考え方
④ a=1, b=5, c=3 を代入。

⑤ a=2, b=-3, c=-1 を代入。

応用問題(文章題)
最後に、実戦形式の文章題です。
問題 ⑥ 連続する2つの正の整数があります。
それぞれの2乗の和が85になるとき、この2つの整数を求めましょう。
解答・考え方
⑥ 小さい方の整数を x とすると、もう一方は x+1 と表されます。
x2+(x+1)2=85
整理すると、
2x2+2x-84=0 ←両辺を2でわる。
x2+x-42=0 ←左辺を因数分解する。
(x+7)(x-6)=0
x=-7,6
問題文に「正の整数」とあるので、x=6 が適しています。
答え 6
文理のおすすめ学習教材と問題集
2次方程式をマスタ-し、実戦力を高めるには、自分に合った教材で繰り返し練習することが一番の近道です。
レベルや目的に合わせて、最適な1冊を選びましょう。
基礎から丁寧に学ぶなら「わからないをわかるにかえる」
数学が苦手な人や、2次方程式の基礎をイチから確認したい人に最適です。
・特長:カラ-の図解が豊富で、まるで先生が横で教えてくれているような丁寧さ。
・ポイント:つまずきやすい「解の公式の代入」なども、ヒントが充実しているのでスム-ズに進められます。
こちらもあります!
中1・2の内容を5教科まとめて復習できる合本 ←こちらをタップ!
定期テスト対策なら「中学教科書ワ-ク」
学校の成績を上げたいなら、教科書準拠のこの1冊です。
・特長:学校の教科書に沿った内容なので、定期テストに出る問題がそのまま練習できます。
・ポイント:付属の定期テスト対策問題で、本番前のリハ-サルもバッチリです。

入試対策なら「完全攻略」シリ-ズ
志望校合格を目指して、標準~発展レベルまで力を伸ばしたい人におすすめです。
・特長:段階的な構成で、入試頻出の「文章題」や「グラフとの融合問題」もしっかりカバ-。
・ポイント:詳しい解説付きなので、難しい問題も「なぜそうなるか」を納得しながら進められます。

難関校対策なら「ハイクラス徹底問題集」
私立・国立の難関校を目指すなら、最高レベルの問題に挑戦しましょう。
・特長:トップレベルの良問を厳選。2次方程式を「武器」にできるレベルまで鍛え上げます。
・ポイント:難易度が3段階に分かれているので、一歩ずつ確実に高みを目指せます。
別のブログ記事へジャンプ!
中学生1年生 数学の問題集の選び方はこちら ←こちらをタップ!
まとめ:2次方程式をマスタ-して数学力を伸ばそう
2次方程式は、一見複雑で難しく感じるかもしれません。
しかし、今回紹介したポイントを意識すれば、必ず解けるようになります。
★定義を知る
xの2乗(x2)が主役の方程式。
★解法を使い分ける
まずは因数分解!
ダメなら解の公式。
★ミスを防ぐ
符号のミスや約分忘れに注意する。
2次方程式は、中学数学の方程式分野の集大成であると同時に、高校数学への大切な入り口でもあります。
ここで「最強の武器」を手に入れることで、あなたの数学の世界はもっと広がっていくはずです。
まずは教科書ワ-クの1ページから、練習を始めてみましょう!

